진단검사의학본부 전문의 이오진
최초의 수혈 치료 기록은 교황 인노첸시오 8세(Innocentius VIII)가 10대 소년들의 피를 경구섭취한 것에서 시작합니다. ABO 혈액형을 발견하기 이전에도 사람 또는 동물의 피를 부상이나 출산 등으로 인한 출혈 환자에게 투여하려는 시도가 있었습니다. 그러나 이들은 적절한 혈액형검사나 교차검사 없이 생사를 운에 맡기며 다른 사람의 피를 수혈 받아야만 했습니다. 이후 1901년 카를 란트슈타이너(Karl Landsteiner)에 의해 ABO 혈액형이 발견되어 안전한 수혈을 위한 길이 열렸습니다. 2023년 기준 보고된 혈액형은 44가지이나, 이들 대부분은 해당 항원을 가진 혈액에 노출되지 않으면 항체를 형성하지 않습니다. 반면 ABO 항원은 자신이 가지고 있지 않은 항원에 대해 자연항체를 형성하기 때문에 수혈에 있어서 매우 중요한 의미를 가집니다.
ABO 혈액형을 결정하는 유전자는 9번 유전자에 위치하고 있습니다. A형 유전자는 H 물질에 galactosamine을 붙이는 A 전이효소를 만들어 H 물질을 A 항원으로 만들고, B형 유전자는 H 물질에 galactose를 붙이는 B 전이효소를 만들어 H 물질을 B 항원으로 만듭니다. O형의 경우 ABO 유전자 exon 6번 261번 G 유전자 1개의 결손으로 인해 전이효소를 만들어내지 못하고, 이로 인해 H 물질이 변화 없이 그대로 남게 됩니다. 이러한 A, B, O형 대립유전자의 조합에 의해 A, B, O, AB형 혈액형이 결정됩니다.
ABO 표현형 검사는 이 A 항원과 B 항원의 존재 및 항A 항체와 항B 항체의 유무를 통해 혈액형을 판단합니다. 대부분의 경우 전형적인 혈액형을 나타내고 또한 부모와 자식 간에 전형적인 유전 양상을 보입니다. 그러나 가끔씩 이런 상식을 벗어나는 표현형 또는 유전 양상을 보이기도 합니다. 이런 경우 정확한 혈액형을 알지 못하면 의학적으로는 수혈 과정에서 문제가 생기기도 하고, 가족 간의 불화를 일으키기도 합니다. 이런 경우에는 ABO 유전자의 변이가 있는지 알아볼 수 있는 유전형 검사를 통해 원인을 확인해 볼 수 있습니다.

Ref) Transfus Med Hemother. 2018 Jan;45(1):5-10.
Fig. 1. Example of manual tile testing results of cell typing of (1) cis-AB, (2) typical AB and (3) O type blood.
All samples were RhD-positive. Results for anti-B sera of cis-AB represents weakly reactive, AB represents strongly reactive and O represents negative results.

Fig. 2. Results of the monoclonal gel test showing two populations of blood cells on typing of the propositus. Mixed-field agglutination pattern was observed by using the anti-B reagent (arrows), indicating the simultaneous presence of two red blood cell populations (Twin, male, A). The same pattern was observed in the twin sister of the propositus (Twin, Female, B). Abbreviations: DVI, RhDVI variants; ctl, control.


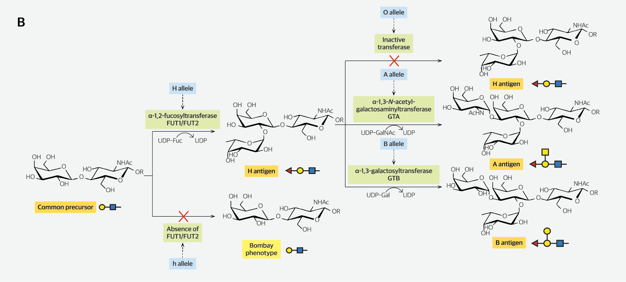
Fig. 3. A, B, H, and Bombay antigens in RBCs
(a) Cartoon representation of Bombay, O, A, B, and AB blood groups antigen’s carbohydrate epitopes present in RBC surface (RBC are depicted as red circles) and antibodies.
(b) Enzymatic pathway B antigen for the biosynthesis of A, B, and H antigens. Enzymes involved in biosynthesis are highlighted in light green, encoding genes in blue and antigen’s carbohydrate epitopes in orange and yellow.

Ref) The Korean Journal of Blood Transfusion. 2012;23:236-247.
Fig. 4. Schematic illustration describe ABO genotyping using PCR-direct sequencing of exon 6 and 7 in ABO gene.
검사항목 안내
검사항목 | 검체(mL) | 검사일 / 소요일 | 검사방법 | 보험정보 |
|
(GC Labs 코드: X177) | EDTA WB 6.0 (3.0 mL EDTA 용기 2개) | 월-금 / 30일 | PCR & sequencing | 나580다 / C5806 (비급여 대상) |
▶ 검사의뢰서
- 분자유전 검사의뢰서, 유전자검사 동의서
* 상기 검사정보는 2024년 05월 23일 기준이며, 추후 변경될 수 있으니 최신 정보를 확인하시기 바랍니다(http://www.gclabs.co.kr).